| 联系方式 | 该项目来源于钢构宝APP,联系业主电话请下载钢构宝APP,或咨询钢构宝客服4001392998/四零零--一三九--二九九八 https://www.zwggb.com |
| 订单编号 | 1376036036394 |
| 订单类型 | 钢材建材 |
| 项目地址 | 安徽芜湖市繁昌县工业园 |
| 总重量 | 300.00T(过磅) |
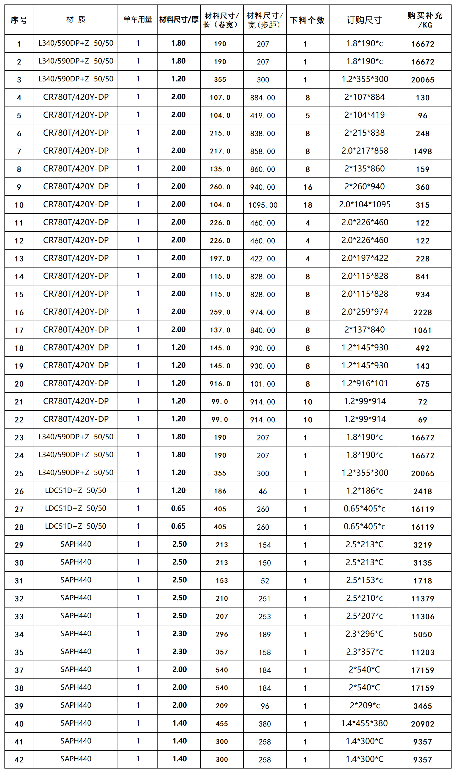
| 项目描述 | 安徽芜湖车间加工项目采购镀锌卷材,主要需求如下: L340/590DP+Z 50/50,厚度1.2/1.8mm,CR780T/420Y-DP厚度1.2/2.0mm,LDC51D+Z 50/50厚度0.65/1.2mm,SAPH440厚度1.4/2.0/2.5mm,详细尺寸规格见采购清单,厂家按要求分条加工好,报价含税含运输,国标,采购人:昂经理。 |
| 询价区域 | 全国 |
| 项目图纸及资料 |
安徽芜湖车间加工项目采购..._资料1 |
| 项目图片 |
|




